首页
深度阅读
热点主题
信息问答
知识大全
销售推广
电商资讯
热点主题
的的多音字,的的多音字是什么?
的的多音字是什么? 多少次的扣问,“的”字读音。 是不是应用“地”字。 的的多音字是:[ de ] [ dì ]部首:白(白字旁)笔画:8 五行:火 繁体:的 五笔:RQYY 释义:1.用在定语的后面。 a)定语和中心词之间是一般的修饰关系。 b)定语和中心词之间是领属关系。 c)定语是人名或人称。的的多音字是什么? 的的多音字是什么?1、的de:小的、有的、伍的、指的、的颅、的
尹和志
2023-06-15 10:37:35
电视消磁,电视消磁线圈
电视机消磁怎么解决 电视机消磁怎么办 1、电视机消磁可能仅仅是因为边上有磁性物的干扰。 首先察看电视机四周是否有磁性物,例如:收录音机、音箱、喇叭、磁铁等。 如有的话请将磁性物移开并与电视机保持2米以上距离。 2、如用户平时一直是用遥控关机,长期未切断。请问:如何为电视的屏幕消磁?? 要想消磁,必须“硬关机”,就是让电视机内部与电源完全断开才行,而如果CRT显示器也有这种情况,就不用反复
何凯凯
2023-06-15 10:33:52
素包子馅的做法和配方,素包子馅的做法和配方韭菜鸡蛋
20种素包子馅的做法? 5、把萝卜馅挤干后和葱花一起放在容器内,把烧热的花椒油趁热浇在萝卜馅和葱花上。 6、再倒入蚝油、糖。 7、简单的拌匀就行,不能多搅拌,否则容易出水。 8、面发好后,按常规开始包包子,馅可以多放一些。 9、看看,我。素菜包子的馅料怎么调才好吃? 1、香菇馅 香菇+豆腐+茭白+胡萝卜+植物油+味精+酱油+五香粉+盐+葱花+香干 2、角瓜馅 盐+味精+花椒油+胡椒粉+
吕锐泽
2023-06-15 10:33:00
宁夏专业技术人员,宁夏专业技术人员服务平台
宁夏专业技术人员破格晋级条件 取得高级工《国家职业资格证书》,连续5年考核合格。 宁夏专业技术人员晋升制度明确表明,想要破格晋升,需要取得高级工《国家职业资格证书》,连续5年考核合格即可破格晋升。 专业技术人员指专门从事各种科学研究和专业技术工作的人员。2022年宁夏专业技术人员继续教育公需课没有必修课程 2022年宁夏专业技术人员继续教育公需课没有必修课程。 宁夏继续教育为专业技术人员
魏鸿熙
2023-06-15 10:30:51
河南征兵网,河南征兵网官网
河南征兵2023年报名时间 下半年征兵时间为:(2022年12月1日 至 2023年8月10日18时);河南女兵上半年征兵时间为:(2023年1月1日 至 2023年2月10日18时),下半年征兵时间为:(2023年7月1日至2023年8月10日18时)。 平顶山市征兵政策 现将今年征兵政策公告如下: 一、应征报名时间 男兵:上半年:2021年12月1日至2022年2月10日 下
邹绍辉
2023-06-15 10:23:29
邓字的组词,劝字的组词
“邓”的组词有哪些? “邓”的组词有:邓艾吃、邓邓呆呆、邓邓浑浑、邓惠、邓家铜山、邓家无子、邓浆、邓橘、邓林、邓虏沦敦。 1、邓艾吃dèngàichī【解释】:1.《三国志.魏志.邓艾传》:"﹝邓艾﹞为都尉学士,以口吃,不得作干佐。 邓组词有哪些? 邓组词有:邓浆、邓惠、吴邓、寇邓、耿邓、邓缌、樊邓、邓橘、冯邓、邓萧、邓耿、邓颙等。 一、邓浆 [ dèng jiāng ]古代制造陶瓷器
陆意智
2023-06-15 10:14:59
金田念什么,金田念什么名字
金田念什么 “金田”组成”钿“字,拼音:diàn 、 tián 。 1、diàn ①把金属宝石等镶嵌在器物上作装饰:宝~ 螺~ 金~ 翠~。 ②古代一种嵌金花的首饰。 2、tián 钱,硬币:铜~ 洋~ 车~ 几多~宝钿拼音bǎo diàn。“金田”念什么? diàn,声母d,韵母ian,声调四声。 钿,汉语汉字,拼音diàn,两种意思:1、把金属宝石等镶嵌在器物上作装饰:宝钿。
贾德本
2023-06-15 10:12:05
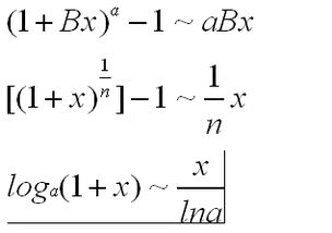
等价无穷小公式,等价无穷小公式大全图片
等价无穷小替换公式是什么? 等价无穷小替换公式如下:1、sinx~x 2、tanx~x 3、arcsinx~x 4、arctanx~x 5、1-cosx~(1/2)*(x^2)~secx-1 等价无穷小是无穷小之间的一种关系,指的是在同一自变量的趋向过程中,若两个无穷小之比的极限为。等价无穷小的公式是什么? 1、0是可以作为无穷小的常数。 从另一方面来说,等价无穷小也可以看成是泰勒公式在零点
陈天佑
2023-06-15 10:10:08
老人与海读书笔记摘抄及感悟,老人与海读书笔记摘抄及感悟20篇
《老人与海》读书笔记好句摘抄及感悟 13、这两个肩膀挺怪,人非常老迈了,肩膀却依然很强健,脖子也依然很壮实,而且当老人睡着了,脑袋向前耷拉着的时候,皱纹也不大明显了。 14、他不多久就谁熟了,梦见小时侯见到的非洲,长长的金色海滩和白色海滩,白得耀眼。关于老人与海经典语录及感悟大全 海明威在《老人与海》中一开始就设了两个悬念:老人一连84天一条鱼也没捉到,他准备第85天继续捕鱼,他很背运(孩子
萧瀚玥
2023-06-15 10:08:27
奉送,奉送是送我还是送别人
奉送是什么意思 奉送是敬辞,意思是赠送。 拼音:fèng sòng 引证释义:《儿女英雄传》第八回:“不但不领他的情,还不愁他不双手奉送!”老舍《茶馆》第一幕:“我就先给您相面吧!手相奉送,不取分文!”近义词:馈遗、捐赠、馈赠 近。奉送是什么意思 问题一:奉送的古代意思是什么? 请看360百科对奉送的解释:fèn sòn 1.犹护送。 《谷梁传・僖公三十一年》:“免牲者,为
万祺福
2023-06-15 10:04:49
共75583条
第一页
上一页
984
985
986
987
988
989
990
991
992
下一页
最后一页
查看更多
液压电磁阀线圈
2025-04-02 16:39:15
石榴红是什么颜色,石榴红图片
2023-11-11 22:20:35
此地别燕丹下一句,此地别燕丹壮士发冲冠
2023-11-11 22:17:40
冰封侠3永恒之门免费观看,冰封侠免费观看完整版
2023-11-11 22:14:55
脐风散功效与作用,脐风散
2023-11-11 22:12:25
高情商骂人短句,高情商骂人装b的句子
2023-11-11 22:09:48
家庭服务器搭建教程,快速搭建个人服务器
2022-05-07 12:14:23
三丰云服务器怎么样?三丰云速度快不快
2022-05-07 11:07:10
云服务器优势和劣势,云服务器的优缺点有哪些
2022-05-07 11:06:21
云服务器是做什么用的?云计算厂商推荐
2022-05-07 11:01:34
idc服务器租用,服务器租用和服务器托管优势区别
2022-05-07 10:58:25