等价无穷小替换公式是什么?
等价无穷小替换公式如下:1、sinx~x 2、tanx~x 3、arcsinx~x 4、arctanx~x 5、1-cosx~(1/2)*(x^2)~secx-1 等价无穷小是无穷小之间的一种关系,指的是在同一自变量的趋向过程中,若两个无穷小之比的极限为。
等价无穷小的公式是什么?
1、0是可以作为无穷小的常数。
从另一方面来说,等价无穷小也可以看成是泰勒公式在零点展开到一阶的泰勒展开公式。
2、x趋于0时候,求极限,可以运用等价无穷小来求解。
x趋于0时候,求f(x²/sin²x)也可以使。

等价无穷小的公式是什么?
高等数学等价替换公式是如下:当x→0,且x≠0,则x~sinx~tanx~arcsinx~arctanx。
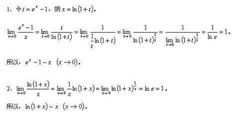
x~ln(1+x)~(e^x-1)。
(1-cosx)~x*x/2。
[(1+x)^n-1]~nx。
loga(1+x)~x/lna。
a的x次方~xlna。
(1+x)的1/n次方~1/。
等价无穷小公式是什么?
重要等价无穷小的公式:(1)sinx~x (2)tanx~x (3)arcsinx~x (4)arctanx~x (5)1-cosx~(1/2)*(x^2)~secx-1 (6)(a^x)-1~x*lna ((a^x-1)/x~lna)(7)(e^x)-1~x (8)ln(1。

常用的等价无穷小公式是什么?
等价无穷小的公式:1、sinx~x、tanx~x、arcsinx~x、arctanx~x、1-cosx~(1/2)*(x^2)~secx-1。
2、(a^x)-1~x*lna [a^x-1)/x~lna]。
3、(e^x)-1~x、ln(1+x)~x。
4、(1+Bx)^a-1~aBx、[。