首页
深度阅读
热点主题
信息问答
知识大全
销售推广
电商资讯
知识大全
长方形的英语怎么读rectangle,长方形的英语怎么读triangle
长方形用英语怎么说? 他在黑板上画了个矩形。 2、oblong 读音:英 ['ɒblɒŋ] 美 ['ɑːblɔːŋ]n. 长方形;椭圆形 adj. 长方形的;椭圆形的 The only bathroom was a tiny oblong.唯一的浴室。长方形的英文怎么读 长方形的英文是rectangle,读法为:英[
严正平
2023-07-10 23:04:53
七年级计算题大全800题,七年级计算题100道有理数混合运算方程
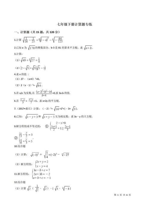
七年级数学计算题大全 计算题是 七年级数学 学习的重要内容,其不仅仅关系到基础数学计算能力的培养,还牵涉到实践能力和创新能力的全面培养。 下面是我为大家精心整理的七年级数学的计算题大全,仅供参考。 七年级数学计算题第1页 七年级数学计算题。初一上册计算题200道及过程,初一数学计算题200道带答案带过程_百度知 41.(58+37)÷(64-9×5)有理数计算题100道。 42.(
彭元洲
2023-07-10 23:00:27
兴酣落笔摇五岳,诗成笑傲凌沧洲意思,兴酣落笔摇五岳全诗
自称心肝落笔摇五岳诗成笑傲凌沧洲的是唐代诗人 自称心肝落笔摇五岳诗成笑傲凌沧洲的唐代诗人是:李白。 一、基本解释 “兴酣落笔摇五岳,诗成笑傲凌沧州。 ”此句出自李白的《江上吟》。 解释:我诗兴浓烈之时,落笔可摇动五岳,诗成之后,啸傲之声,直凌越沧海。 赏析:。兴酣落笔摇五岳,诗成笑傲凌沧海 这句出自李白《江上吟》全诗如下:木兰之枻沙棠舟,玉箫金管坐两头。 美酒樽中置千斛,载妓随波任去
谭乐天
2023-07-10 22:56:06
嘉肴是什么意思,美丽佳肴是什么意思
佳肴的意思是什么 1、佳肴,指精美的饭菜和可口的食物,形容食物非常好吃。 语出元张养浩《翠阴亭落成自和》诗之一:“抚尊笑向儿童道,安得佳肴锦鲤双。 ”2、基本信息编辑。 词义:精美的饭菜和可口的食品,形容食物非常好吃。 引证解释编辑。 美。“佳肴”是什么意思? 【释义】:精美的饭菜 佳肴 【拼音】:jiā yáo 【造句】:同学们品尝着自己亲手做出来的美味佳肴。 他用当地的美味佳肴
王雪风
2023-07-10 22:52:35
四丁基氯化铵缩写,四丁基氯化铵生产厂家
四丁基氯化铵生产工艺 四丁基氯化铵生产工艺是氨磺化、中和、稀释,四丁基氯化铵是一种化学物质,分子式是C16H36ClN。 中文别名:四丁基氯化铵50%溶液;四正丁基氯化铵;N,N,N-三丁基-1-丁铵氯化物;氯化四丁铵;氯化四丁基铵;氯化四正丁基。四丁基氯化铵为什么易潮解 四丁基氯化铵确实容易潮解。 无色或淡褐色结晶。 易潮解。 易溶于水、乙醇、氯仿和丙酮,微溶于苯。 有刺激性。
周奇思
2023-07-10 22:51:56
沮丧拼音怎么读,沮丧拼音和意思
沮丧的读音是什么 沮丧jǔ sàng基本解释[释义](1) (形)灰心失望。 (2) (动)使灰心失望。 [构成]并列式:沮+丧 [例句]最近他比较沮丧。 (作谓语)沮丧的拼音是什么 沮丧 [读音][jǔ sàng][解释]1.灰心失望 2.失色貌 [近义]丧气悲伤懊丧消极消沉衰颓颓丧颓唐颓废颓败颓靡黯然 [反义]欢乐欢喜高兴沮丧读音是什么 【拼音】jǔ sàng 【沮丧的释义】1、灰
傅敏睿
2023-07-10 22:49:09
拖泥带水的意思解释词语,拖泥带水的意思和造句
拖泥带水的意思解释 拖泥带水的意思:比喻说话做事不干脆利落。 基础释义:比喻说话做事不干脆利落。 详细释义:比喻说话做事不干脆利落。 【示例】:这篇文章~,读起来索然无味。 出处:宋《碧岩录》卷一:“道个佛字,拖泥带水;道个禅字,满。拖泥带水什么意思 拖泥带水的意思是比喻做事不干脆,也比喻说话、写文章不利落、不简洁。 成语出自宋《碧岩录》卷一:“道个佛字,拖泥带水;道个禅字,满面惭
万乐贤
2023-07-10 22:47:44
y511列车时刻表,y510列车时刻表
沧州西站建筑工程介绍? 沧州站列车时刻表 车次 始发站 终点 车辆类型 发站 发时 到站 到时 4445 天津 德州 空调普快 沧州 8:13 德州 9:34 4446 德州 天津 空调普快 沧州 11:48 天津 14:33 4482 邯郸 天津 普 快 沧州 20:08 天津 22:38 4481 。石家庄到怀来火车时刻表 K1276(石家庄-沙城) 发车时间03:48 到站时间09:
姜经义
2023-07-10 22:44:44
描写寒食节的诗句古诗,描写寒食节的诗句有哪些古诗
关于寒食节的诗句 1.渭城寒食罢,送客归远道。 乌帽背斜晖,青骊踏春草。 ——韩翃《送李明府赴滑州》2.如何寒食近,无数野花开。 ——杨万里《寒食前三日行脚遇雨》3.客又不来寒食近,碧蘅红杜满芳洲。 ——方岳《春词·一春直是柳风流。关于寒食节的诗句 关于寒食节的诗句:春城无处不飞花,寒食东风御柳斜。 ——韩翃《寒食/ 寒食日即事》百草千花寒食路,香车系在谁家树。 ——冯延巳《鹊踏
刘浩宕
2023-07-10 22:40:42
手抄报内容素材大全,手抄报内容英语版
手抄报的内容有哪些 1、传统文化手抄报内容:传统文化的意义:中国传统文化是中国数千年沉淀下来的精华,学习中国传统文化,第一,可以增加对历史的了解、对文化的了解,丰富自己的知识面;第二,再者也可以培养民族自豪感和增加民族凝聚力;第三,。手抄报有哪些内容? 安全教育手抄报简短内容如下:一、安全教育警示句:1、与安全同行。 2、争做安全小卫士。 3、注意安全,人人有责。 4、安全记心中,幸福伴
沈宇达
2023-07-10 22:40:00
共75217条
第一页
上一页
508
509
510
511
512
513
514
515
516
下一页
最后一页
查看更多
液压电磁阀线圈
2025-04-02 16:39:15
石榴红是什么颜色,石榴红图片
2023-11-11 22:20:35
此地别燕丹下一句,此地别燕丹壮士发冲冠
2023-11-11 22:17:40
冰封侠3永恒之门免费观看,冰封侠免费观看完整版
2023-11-11 22:14:55
脐风散功效与作用,脐风散
2023-11-11 22:12:25
高情商骂人短句,高情商骂人装b的句子
2023-11-11 22:09:48
家庭服务器搭建教程,快速搭建个人服务器
2022-05-07 12:14:23
三丰云服务器怎么样?三丰云速度快不快
2022-05-07 11:07:10
云服务器优势和劣势,云服务器的优缺点有哪些
2022-05-07 11:06:21
云服务器是做什么用的?云计算厂商推荐
2022-05-07 11:01:34
idc服务器租用,服务器租用和服务器托管优势区别
2022-05-07 10:58:25