首页
深度阅读
热点主题
信息问答
知识大全
销售推广
电商资讯
知识大全
玉宇琼楼的意思解释,玉宇琼楼的意思加造句
玉宇琼楼什么意思? 神话中仙人居住的宫殿,形容覆雪的楼宇。 成语:玉宇琼楼 发音:yùyǔqiónglóu 释义:神话中仙人居住的宫殿。 形容覆雪的楼宇。 出处:宋·苏轼《念奴娇·凭高眺远》词:"玉宇琼楼,乘鸾来去,人在清凉国。 "明·何景明《嫦娥图。玉宇琼楼成语意思 成语“玉宇琼楼”有2个意思——①神话中仙人居住的宫殿。 ②形容覆雪的楼宇。 玉宇琼楼 【拼音】yù yǔ qión
王咏德
2023-07-15 00:54:34
过年的画儿童画一等奖三年级,过年的画儿童画一等奖简单
春节怎么画最好看一等奖 1、我们准备好笔和纸。 先画出喜庆的灯笼。 2、然后在左右两边分别画几个。 3、接着在灯笼的下面画出烟花。 4、画出烟花散开的形状。 5、然后画一个小朋友,举着竹竿挂着鞭炮在放鞭的情境。 6、再画出烟花四射的花朵的热闹。新年的画怎么画一等奖 1、首先我们要在儿童画内空白的地方画上灯笼、爆竹等图案和一位拿着一串鞭炮的小女孩。 2、在小女孩的身后画上一些房屋、
邹和通
2023-07-15 00:51:31
根号80等于多少,根号800化简
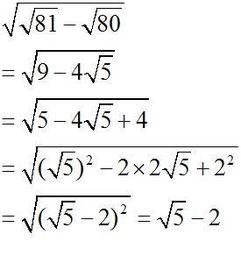
根号下80等于多少 8.944271909999。 根据百度计算器相关资料显示,根号80等于4的平方乘于5,所以√80=√16*5=4√5=8.944271909999。 根号是用来表示对一个数或一个代数式进行开方运算的符号。 根号80等于多少 约等于8.944。 根号80可以分解成根号(16*5),进一步可以写成4根号5,根号80等于4根号5,约等于8.944。 在数学中,一个正整
杜志文
2023-07-15 00:45:05
表情六六六是什么意思,手势六六六是什么意思
六六六是什么意思 意为很牛,很顺手,很能操控的意思。 也有大笑,如233的意思。 六六六,通常用数字666表示,是网络用语,源于DOTA,666则是“溜溜溜”也作“牛牛牛”,为了方便快捷的赞扬别人。 666是近期在LOL对局中开始流行起来的数字简化语。请问网络语六六六是什么意思 1、666有溜溜溜的意思,经常用来形容某人或某物很厉害很牛、令人折服(大多是指游戏玩的好)。 而在西方,66
王志诚
2023-07-15 00:31:37
ie ue er是什么韵母,复韵母er是什么韵母
er是复韵母吗? er是一个特殊韵母。 之所以说它特殊,是因为别的韵母都可以和声母相拼,而er不能同声母相拼,只能自成音节。 其他特殊性:1、韵母在前,声母在后(一般音节都是声母在前韵母在后)。 2、是由一个声母和一个韵母组成的。 目。er是什么韵母 er是什么韵母er是特殊元音韵母。 之所以说它特殊,是因为别的韵母都可以和声母相拼,而er不能同声母相拼,只能自成音节。 其他特殊性
陈永安
2023-07-15 00:22:32
伊美婷胶原蛋白怎么样,伊美婷卫生巾怎么样
伊美婷什么时间吃 伊美婷什么时间吃呢?伊美婷IMEDEEN胶原蛋白是适合25岁以上女性服用,建议女性朋友每天晚上睡觉之前服用,每天两片,用温水送服。 因为伊美婷所才有的原材料是来自深海的海产品,因此如果对鱼类和海鲜过敏者,建议是不能服用的。 伊美婷胶原蛋白致癌吗? 伊美婷所含有的短肽胶原蛋白富含高效渗透剂和溶解剂能迅速渗入疏通乳腺管,从而使乳房血液循环保持畅通,迅速为乳房补充营养,令胸部恢
孟浩阔
2023-07-15 00:20:44
凤凰传奇散伙原因,凤凰传奇解散了吗知乎
凤凰传奇2022年解散了吗 没有。 凤凰传奇,中国内地演唱组合,由杨魏玲花、曾毅组成,属于流行乐派。 1995年,玲花在艺校舞蹈专业毕业后,回到家乡鄂尔多斯,当起了一名电器销售员。 1997年,玲花说服父母独自到深圳寻找适合自己的平台。 凤凰传奇的前身为酷火。凤凰传奇为什么要解散,求解 截止到2020年12月22日凤凰传奇没有解散。 2004年4月正式出道。 2005年在“星光大道
武子民
2023-07-15 00:18:05
望梅止渴的主人公是谁,望梅止渴的故事
望梅止渴的故事 他回过头,对正处于干渴中的士兵说:“将士们,翻过前面的那座山,就有吃不完的梅子”士兵们一听到梅子,想起梅子那酸甜的味道,口中都不由得流出了口水,于是,士兵们突然都有了力气,奋力向前前进。 后来,他们终于到达了。望梅止渴 简介 40字以内白话望梅止渴,汉语成语,拼音是wàng méi zhǐ kě,意思是梅子酸,人想吃梅子就会流涎,因而止渴。 后比喻愿望无法实现,用空想安慰自
史浩慨
2023-07-15 00:09:56
当爱来临的时候歌词,当爱来临的时候电影在线观看
你的出现是我最美的感动是啥歌 《你和我的倾城时光》曝光的爱情版主题曲《当爱来临的时候》由知名音乐人浅紫作词、姜帆谱曲,歌手吴莫愁演唱,是为剧集内容量身打造的歌曲。 《当爱来临的时候》是吴莫愁首次献声电视剧主题曲,她的变换声线也拥有了无尽的。你的出现是我最美的感动是啥歌 你的出现是我最美的感动是《当爱来临的时候》歌词如下:当爱来临的时候 有种特别的温柔 不知那是冲动是心动 当你低头的时候 如果
孟承平
2023-07-15 00:08:09
水的浮力计算公式,水的浮力的原理是什么
水的浮力怎么算? 水的浮力计算技巧:1、F浮=G-T=ρ液gV排=F上、下压力差。 2、当物体漂浮时:F浮=G物 且 ρ物<ρ液。 3、当物体悬浮时:F浮=G物 且 ρ物=ρ液。 4、当物体上浮时:F浮>G物 且 ρ物<ρ液。 5、当物体下。水的浮力怎么算? 即F浮=G液排=ρ液gV排。 (V排表示物体排开液体的体积)3.浮力计算公式:F浮=G-T=ρ液gV排=F上、下压力差 4.当
许天泽
2023-07-15 00:05:08
共75217条
第一页
上一页
416
417
418
419
420
421
422
423
424
下一页
最后一页
查看更多
液压电磁阀线圈
2025-04-02 16:39:15
石榴红是什么颜色,石榴红图片
2023-11-11 22:20:35
此地别燕丹下一句,此地别燕丹壮士发冲冠
2023-11-11 22:17:40
冰封侠3永恒之门免费观看,冰封侠免费观看完整版
2023-11-11 22:14:55
脐风散功效与作用,脐风散
2023-11-11 22:12:25
高情商骂人短句,高情商骂人装b的句子
2023-11-11 22:09:48
家庭服务器搭建教程,快速搭建个人服务器
2022-05-07 12:14:23
三丰云服务器怎么样?三丰云速度快不快
2022-05-07 11:07:10
云服务器优势和劣势,云服务器的优缺点有哪些
2022-05-07 11:06:21
云服务器是做什么用的?云计算厂商推荐
2022-05-07 11:01:34
idc服务器租用,服务器租用和服务器托管优势区别
2022-05-07 10:58:25