首页
深度阅读
热点主题
信息问答
知识大全
销售推广
电商资讯
知识大全
服装店取名字大全免费,服装店取名字测吉凶
服装店起名 1、原素服装店 2、布桃子服装店 3、粉色佳人服装店 4、欧菲尚服装店 5、小晴家服装店 6、饭饭家服装店 7、天梦家服装店 8、美丽方言服装店 9、唯欣服装店 10、么么达琳服装店 11、梵溪诺服装店 12、青亦服装店。服装店名取什么名字好听 02、唯衣唯衣与唯一读音相同,这个服装店铺名字简洁、明了,同时略带有那么一点点霸道的感觉,其着重强调此店铺就是购买者的唯一选择。 另
武鹏赋
2023-07-15 17:43:56
繁分数是几年级教的,繁分数计算
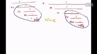
什么叫繁分数 什么叫繁分数呢,是不是分数线上下都有分数就叫繁分数呢?!那化简的法。繁分数定义:如果分数形式中,分子或分母含有四则运算或分数,又或者分子与分母都含有四则运算或分数的数,我们称之为繁分数。 如图,类似这样的数都是繁分数。 与繁分数对应的是简分数,例如1/3,3/4这种最简形式的分数。 。繁分数怎么算 (1)先找出中主分线,确定分子部分和分母部分,然后这两部分分别进行计算,每部
潘明哲
2023-07-15 17:34:28
生字表一年级上册,生字表一年级的生字表
一年级认识的生字有哪些? 一年级认识的生字有如下:1、一、二、三、十、木、禾、上、下、土、个。 2、入、大、天、人、火、文、六、七、儿、九。 3、无、口、日、中、了、子、门、月、不、开。 4、五、目、耳、头、米、见、白、田、。一年级的生字表的字有哪些 一年级生字:一、二、三、十、木、禾、上、下、土、个、八、入、大、天、人、火、文、六、七、儿、九、无、口、日、中、了、子、门、月、不、开、四
孙元凯
2023-07-15 17:24:57
陈石磊润菲百度百科,陈石燕
陈石的学生死因 ”陈石的阿姨告诉记者,直到那时亲戚朋友才知道孩子被送到了长沙。 看到陈石的尸体后,唐育林告诉他的亲戚和朋友,孩子被杀了,所有人都很愤怒。 陈石的嫂子哭着在网上发帖“长沙北腾青年励志学校杀学生”,最后留下了自己的手。世界上有没有鬼的存在史学大家陈寿父亲是谁 据说除了陈至,还有人认为陈寿的父亲是蜀汉将军陈石。 然而,史书上并没有关于陈石的专门传记,但著名的陈石故事发生在公元2
金修永
2023-07-15 17:21:43
雾的四字成语开头有哪些,下的四字成语有哪些
带"雾"字的四字成语 吞云吐雾、雾兴云涌、冲云破雾、云迷雾锁、雾锁烟迷、烟霏雾集、开雾睹天、堕云雾中、云迷雾罩、喷云吐雾、云窗雾阁、云雾迷蒙、柳烟花雾、云鬟雾鬓、刻雾裁风、如坐云雾、愁云惨雾、云开雾散、云消雾散、雾里。关于雾的四字词语 关于雾的四字词语 :云消雾散、腾云驾雾、雾里看花、雾起云涌、吞云吐雾、堕云雾中、风鬟雾鬓、蛮烟瘴雾、握雾拿云、五里云雾、愁云惨雾、云合雾集、雾锁烟迷、冲云破雾、
贾和煦
2023-07-15 17:19:49
锤子英文怎么读,锤子英文翻译
锤子的英文 锤子的英文介绍如下:hammer 英/ˈhæmə(r)/。 美/ˈhæmər/。 n.锤子;榔头;(拍卖用的)木槌;音槌;击铁;链球;链球(运动)。 v.(用锤子)敲,锤打;反复敲打,连续击打(尤指发出。锤子的英文是什么?? 锤子的英文是hammer工具箱里常见的英文工具词汇? ?hammer 锤子 ?wrench
白明亮
2023-07-15 17:14:22
农村拼音怎么拼写,农村拼音怎么打
农村的读音农村的读音是什么 农村的读音是:nóngcūn。 农村的拼音是:nóngcūn。 结构是:农(独体结构)村(左右结构)。 词性是:名词。 注音是:ㄋㄨㄥ_ㄘㄨㄣ。 农村的具体解释是什么呢,我们通过以下几个方面为您介绍:一、词语解释【点此查看计划详细内。农村拼音 农村的拼音nóng cūn。 也叫乡村。 以从事农业生产为主的农业人口居住地区。 较好地保留了大自然原有的景
程逸春
2023-07-15 17:09:32
curious的中文意思是什么意思啊,curious是什么意思英文
curious是什么意思 adj.好奇的;好求知的;奇特的;异常的;表示好奇的;淫秽的;色情的 一、读音:英 [ˈkjʊərɪəs],美 [ˈkjʊriəs]二、例句:1、The song had a curious ring o。curious是什么意思 curious意思是好奇的,有求知欲的;古怪的;爱挑剔的。
钟伟彦
2023-07-15 17:07:47
包头铁路工程学校2023招生,包头铁路工程学校2023招生分数线
包头铁工校2023年招生分数线 包头铁工校2023年招生分数线理科最低录取分为237分,文科最低录取分为192分。 包头铁工校现为包头铁道职业技术学院。 包头铁路工程学校始建于1956年,坐落于包头市东河区巴彦塔拉大街180号,是一所面向内蒙古自治区和铁路经济建。包头铁工校2021年招生分数线 根据包头铁路工程学校近三年的录取分数,对于内蒙古的考生而言,需要高于内蒙古专科控制线200分才能
许明德
2023-07-15 17:06:49
叶公好龙的读后感50字,叶公好龙的读后感300字三年级作文
叶公好龙读后感 叶公好龙读后感1 《叶公好龙》讲述的是这样一个故事:叶公爱龙成癖,天上的真龙知道后,便从天上下降到叶公家里。 可是叶公一看到真龙,却吓得转身就跑,好像掉了魂似的。 这个成语比喻表面上爱好某事物,实际上并不真爱。叶公好龙读后感 篇一:《叶公好龙》读后感 今天我读了一个成语故事,《叶公好龙》,讲的是,古时候有个人叫叶公他非常喜欢龙。 他穿的衣服上秀着龙,家里的柱子上刻着龙
汪宏博
2023-07-15 16:54:27
共75217条
第一页
上一页
404
405
406
407
408
409
410
411
412
下一页
最后一页
查看更多
液压电磁阀线圈
2025-04-02 16:39:15
石榴红是什么颜色,石榴红图片
2023-11-11 22:20:35
此地别燕丹下一句,此地别燕丹壮士发冲冠
2023-11-11 22:17:40
冰封侠3永恒之门免费观看,冰封侠免费观看完整版
2023-11-11 22:14:55
脐风散功效与作用,脐风散
2023-11-11 22:12:25
高情商骂人短句,高情商骂人装b的句子
2023-11-11 22:09:48
家庭服务器搭建教程,快速搭建个人服务器
2022-05-07 12:14:23
三丰云服务器怎么样?三丰云速度快不快
2022-05-07 11:07:10
云服务器优势和劣势,云服务器的优缺点有哪些
2022-05-07 11:06:21
云服务器是做什么用的?云计算厂商推荐
2022-05-07 11:01:34
idc服务器租用,服务器租用和服务器托管优势区别
2022-05-07 10:58:25