首页
深度阅读
热点主题
信息问答
知识大全
销售推广
电商资讯
销售推广
熙熙攘攘皆为利往什么意思,熙熙攘攘皆为利往全文
熙熙攘攘皆为利往上一句是什么? 全句为:天下熙熙皆为利来,天下攘攘皆为利往 释义:天下熙熙皆为利来,天下攘攘皆为利往意思是说天下人为了利益而蜂拥而至,为了利益各奔东西。 即是指普天之下芸芸众生为了各自的利益而劳累奔波乐此不疲。 出处:《史记》卷一。熙熙攘攘皆为利往上一句是什么? 原句是:天下熙熙皆为利来,天下攘攘皆为利往。 这句话意思是说天下人吵吵嚷嚷,嘈杂喧闹,都是为了各自的利益而来
丁乐水
2023-07-14 19:59:48
必能裨补阙漏的裨怎么读,必能裨补阙漏的裨
裨补阙漏什么意思 裨补阙漏意思:一定能够弥补缺点和疏漏之处。 裨补阙漏怎么读 裨补阙漏读法为bì bǔ quē lòu。 “裨补阙漏”出自诸葛亮《出师表》:愚以为宫中之事,事无大小,悉以咨之,然后施行,必能裨补阙漏。 意为弥补缺漏、不足之处。 裨:增益、补助、大有裨益、裨补。 阙:古代用作“。出师表中“必能裨补缺漏”中“裨”怎么读读 【拼音】:bì bǔ quē lòu 【解释】:
周宏放
2023-07-14 19:55:26
鹏程万里的意思和道理,鹏程万里的寓意和象征
鹏程万里的意思 鹏程万里:[ péng chéng wàn lǐ ] 1. 【解释】:相传鹏鸟能飞万里路程。 比喻前程远大。 2. 【出自】:《庄子·逍遥游》:“鹏之徙于南冥也,水击三千里,抟扶摇而上者九万里。 ”3. 【。鹏程万里的意思是什么? 后用以比喻前程远大。 详细解释:1、【解释】:相传鹏鸟能飞万里路程。 比喻前程远大。 2、【出自
龚英华
2023-07-14 19:54:21
快乐娃娃幼儿园,快乐娃娃健康教案中班
团圆瀑布群位于哪儿 母亲身边是高20米左右,宽1米左右的快乐娃娃。 地址:云南省昭通市大关县寿山乡黄连河啦啦啦啦毕业走了什么歌词 歌曲的歌词:啦啦啦啦,毕业走啦,亲爱的老师,我很想她,啦啦啦啦,我舍不得啊,永远都不会忘,我爱这个家,一眨眼我们渐渐长大,不再轻易的吵吵闹闹,学会相互帮助听老师话,做一个快乐娃娃,啦啦啦啦,毕业走啦,亲爱。学前班心理健康教案 本次活动,根据我班孩子的情绪情感特点
邹凯凯
2023-07-14 19:51:27
麦克斯韦关系式推导,麦克斯韦关系式推导详细过程
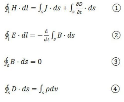
麦克斯韦关系式是什么? 麦克斯韦关系式是热力学中的一套方程,可以从热力学势的定义推出。 麦克斯韦关系式是热力学势的二阶导数之间的等式的陈述。 它们可以直接从二元解析函数的高阶导数与求导次序无关的事实推出。 麦克斯韦关系的方程组的四个等式分别来。麦克斯韦方程组公式及其意义是什么? 麦克斯韦方程组公式是∮D·dS=∫rdV=q;∮E·dL=-∫(B关于t的偏导)·dS;∮B·dS=04,∮H
谢鸿轩
2023-07-14 19:43:18
要好的意思,要好评的话术
要好的拼音 要好,汉语词汇。 拼音:yào hǎo 释义:1、指感情融洽;也指对人表示好感,愿意亲近;2、努力求好,力求上进。 另一种意思是指男方到女方家确定结婚日子。 例:他俩从小就要好。 努力求好,力求上进。 例:这孩子很要好。 &。要好是什么意思 要好的意思 1、要好,拼音yào hǎo,汉语词语,意思是指感情融洽;也指对人表示好感,愿意亲近;努力求好,力求上进;男方到女方家
徐锐立
2023-07-14 19:39:55
touchstone教材,touchstone教材电子版
剑桥标准英语touchstone什么水平 Touchstone的四个级别并非一一对应于欧洲共同语言框架(Common European Framework of Reference for Languages,简称CEFR)的不同等级标准,但是可以通过CEFR的标准来对比评估Touchstone对应的英语水平。 通常而言,Touchstone 1对应于CE。试什么什么的成语 试金石 读音:s
魏烨霖
2023-07-14 19:38:21
改进的近义词三年级,改进的近义词是什么 标准答案
改进的近义词是什么 改进的近义词包括:改革、创新、鼎新、更正、修正、矫正、改善、革新、厘正、改良等词语。 1、改革 [ gǎi gé ] 改掉事物中陈旧的、不合理的 部分,使之合理、完善,更加适合需要。 2、创新 [ chuàng xīn ] 抛开。改进的近义词是什么 【近义词】:改观,改良,革新,刷新,改革,改进,改正,改变 【反义词】:恶化 问题二:改善的近义词是什么呢 改善
郑鸿晖
2023-07-14 19:36:31
幽州夜饮张说拼音版,幽州夜饮拼音版
边塞诗大全:幽州夜饮 全诗以“夜饮”二字为中心紧扣题目。 开始二句描写“夜饮”环境,渲染气氛。 “凉风吹夜雨,萧瑟动寒林”。 正值秋深风凉之时,在幽州边城的夜晚,风雨交加,吹动树林,只听见一片凄凉动人的萧瑟之声。 这一切,形象地描绘出。古诗幽州夜饮唐张悦 幽州夜饮(唐·张说)五言律诗 凉风吹夜雨,萧瑟动寒林。 正有高堂宴,能忘迟暮心。 军中宜剑舞,塞上重笳音。 不作边城将,谁知恩
苏翔飞
2023-07-14 19:33:39
荆州长江大桥有多长,荆州长江大桥什么时候建成的
荆州长江二桥介绍? 荆州长江二桥,又名公安长江大桥,位于湖北省荆州市,是一座公铁两用大桥,全长6317.8米,桥面宽24.5米,主桥采用双塔结构,总投资18亿元,预计2017年年底前完工。 湖北省荆州长江二桥北岸接荆监一级公路,南岸一期接省道公石。五一荆州长江大桥免费吗 五一荆州长江大桥免费。 根据五一荆州出行提示:免费通行时间为:自2023年4月30日0时起—2023年5月4日24时止,
万雅惠
2023-07-14 19:30:51
共65144条
第一页
上一页
441
442
443
444
445
446
447
448
449
下一页
最后一页
查看更多
液压电磁阀线圈
2025-04-02 16:39:15
石榴红是什么颜色,石榴红图片
2023-11-11 22:20:35
此地别燕丹下一句,此地别燕丹壮士发冲冠
2023-11-11 22:17:40
冰封侠3永恒之门免费观看,冰封侠免费观看完整版
2023-11-11 22:14:55
脐风散功效与作用,脐风散
2023-11-11 22:12:25
高情商骂人短句,高情商骂人装b的句子
2023-11-11 22:09:48
家庭服务器搭建教程,快速搭建个人服务器
2022-05-07 12:14:23
三丰云服务器怎么样?三丰云速度快不快
2022-05-07 11:07:10
云服务器优势和劣势,云服务器的优缺点有哪些
2022-05-07 11:06:21
云服务器是做什么用的?云计算厂商推荐
2022-05-07 11:01:34
idc服务器租用,服务器租用和服务器托管优势区别
2022-05-07 10:58:25