首页
深度阅读
热点主题
信息问答
知识大全
销售推广
电商资讯
深度阅读
念的拼音笔顺,念的拼音怎么读音拼
“念”字的拼音怎么拼? 念 【拼音】:[niàn]念怎么读 念的拼音是什么 念的拼音:niàn。 念的笔画 共8画,念的部首 为心,念的汉字结构 为上下结构。 念的解释:● 念 niàn ㄋㄧㄢˋ◎ 惦记,常常想:惦念。 怀念。 念头(思想、想法)。 悼念。 念旧。 念物。 ◎ 心中的打算,想法,。念的拼音怎么拼读 念的拼音niàn。 下面将详细解说“念”字的
冯俊茂
2023-07-14 22:26:11
岳飞班师是什么意思,班师是什么意思古义
班师是什么意思 班师是(1)还师;班还 (2)出征军队胜利归来。 读音:[bān shī]。 近义:凯旅 、奏凯 、凯旋。 反义:出征、 出师。 出处:唐·皇甫冉《和袁郎中破贼后经剡中山水》:“受律梅初发,班师草未齐。 ”例句 一、岳家军班。班师的意思班师的意思是什么 班师的词语解释是:班师bānshī。 (1)还师;班还。 (2)出征军队胜利归来。 (3)三》。 班师的词语
吕烨磊
2023-07-14 22:25:20
单音节是什么双音节是什么,单音节是什么英语
单音节是什么意思? 单音节的意思:单音节词是一个字的词,多出现于古汉语中,如“可”,现在为“可以” 。 英语中的音节若只含有一个元音,就叫做单音节。 汉语单音节词是一个音节组成的词,就是一个音节表示一定的意义。 英语音节中含有一个。什么是单音节 音节中含有一个元音,称为单音节单词;如:a,at ,hi,meet,three,etc. 音节中含有二个元音,称为双音节单词;如:hello,a
王天罡
2023-07-14 22:21:13
碘化银人工降雨是化学变化吗,碘化银人工降雨的危害
碘化银在人工降雨中有什么作用? 碘化银在人工降雨中所起的作用在气象学上称作冷云催化。 碘化银只要受热后就会在空气中形成极多极细(只有头发直径的百分之一到千分之一)的碘化银粒子。 1g碘化银可以形成几十万亿个微粒。 这些微粒会随气流运动进入云中,在冷云。碘化银为什么可人工降雨? 碘化银在人工降雨中所起的作用在气象上称为冷云催化。 碘化银只要受热后就会在空气中形成极多极细的碘化银粒子,1g
任承弼
2023-07-14 22:15:11
前去吊唁是什么意思,枉驾吊唁是什么意思
吊唁是什么意思 吊唁是一个汉语词汇,拼音是diào yàn。 意思是祭奠死者并慰问其家属。 具体指亲友接到讣告后来吊丧,并慰问死者家属,死者家属要哭尸于室,对前来吊唁的人跪拜答谢并迎送如礼。 出自《说苑·修文》。 02 。吊唁的意思 吊唁的意思是什么 1、吊唁的意思:哀悼死者并慰问生者。 2、读音:diào yàn。 3、引证:洪深《电影戏剧表演术》第二
韩星汉
2023-07-14 22:13:32
上海邮政编码是多少闵行区,上海邮政编码是多少普陀区
上海邮政编码是多少? 上海邮编:200000。 截至2022年,上海辖拥16个市辖区,各区的邮政编码如下:上海市200000、黄浦区200003、静安区200040、徐汇区200030、闸北区200070、虹口区200080、普陀区200063。 浦东新区201200、闵行区201100、嘉定区201800、。上海邮编是多少? 上海市的邮编是200000,上海市各区县邮编如下:黄浦区200
常文德
2023-07-14 22:11:58
持之以恒的近义词成语,持之以恒的反义词是什么 标准答案
成语持之以恒近义词 成语 持 之 以 恒 近义词——答案: 锲 而 不 舍、孜 孜 不 倦、坚 持 不 懈、坚 韧 不 拔、坚 持 不 渝。 1、持 之 以 恒 【拼音】: chí zhī yǐ héng 【解释】: 持:坚 持;恒:恒 心。 长 。持之以恒的近义词 1、持之以恒的近义词:水滴石穿、首尾一贯、有始有终、铁杵成针、契而不舍、滴水穿石。 2、持之以恒,汉语成语,拼音是chí
郑绍元
2023-07-14 22:03:56
斜箭头符号怎么打,斜箭头符号复制
斜上箭头怎么打? 1安装搜狗输入法后,输入小写字母a,点击更多特殊符号。 2点击特殊符号,下拉点击↘符号就可以,如下图。 怎么打斜箭头?还有一种更简单的:用搜狗 输“上”选第五个 如↑ 输“右上”选第五个↗ 以此类推。但是注意一。双向箭头、斜箭头符号怎么打? 斜箭头:↘↙ ↖↗ ☇空心箭头:⇨☈双向箭头符号:↕↔代表男女的箭头:♀
孔俊德
2023-07-14 22:02:06
鲜明的反义词是什么词是什么,鲜明的近义反义词
鲜明的反义词是什么 鲜明的反义词包括:含混、暗淡、模糊、隐晦、含糊、灰暗等词语。 1、隐晦 [ yǐn huì ] 意思模糊,不明显。 如:这些诗写得十分隐晦,不容易懂。 2、含糊 [ hán hu ] 不明确;不清晰。 如:含糊其辞。 3、灰暗。鲜明的反义词 鲜明的反义词有模糊、暗淡、平庸等。 这些词语表示缺乏清晰明确、明显可见、独特突出的特征或特点。 例如,模糊表
姜学海
2023-07-14 21:59:09
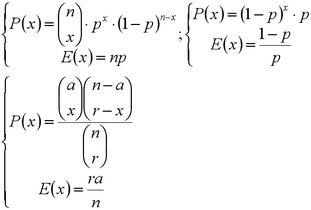
超几何分布公式期望方差,高中超几何分布公式
超几何分布的公式是什么? 超几何分布公式是P(X=k)=C(M,k)×C(N-M,n-k)/C(N,n)。 超几何分布是专业术语,是统计学上一种离散概率分布。 它描述了从有限N个物件(其中包含M个指定种类的物件)中抽出n个物件,成功抽出该指定种类的物件的。超几何分布计算公式 超几何分布计算公式:E(X)=(n*M)/N[其中x是样本数,n为样本容量,M为样本总数,N为总体中的个体总数],求
曹玉龙
2023-07-14 21:51:21
共75307条
第一页
上一页
419
420
421
422
423
424
425
426
427
下一页
最后一页
查看更多
液压电磁阀线圈
2025-04-02 16:39:15
石榴红是什么颜色,石榴红图片
2023-11-11 22:20:35
此地别燕丹下一句,此地别燕丹壮士发冲冠
2023-11-11 22:17:40
冰封侠3永恒之门免费观看,冰封侠免费观看完整版
2023-11-11 22:14:55
脐风散功效与作用,脐风散
2023-11-11 22:12:25
高情商骂人短句,高情商骂人装b的句子
2023-11-11 22:09:48
家庭服务器搭建教程,快速搭建个人服务器
2022-05-07 12:14:23
三丰云服务器怎么样?三丰云速度快不快
2022-05-07 11:07:10
云服务器优势和劣势,云服务器的优缺点有哪些
2022-05-07 11:06:21
云服务器是做什么用的?云计算厂商推荐
2022-05-07 11:01:34
idc服务器租用,服务器租用和服务器托管优势区别
2022-05-07 10:58:25