首页
深度阅读
热点主题
信息问答
知识大全
销售推广
电商资讯
热点主题
陌生的意思
陌生是什么意思?陌生就是不熟悉不习惯 陌生人,字面上指的是不熟悉,不了解的人,公关上指的是和你没有任何社会关系(亲属关系(包括情侣),朋友关系,上下级关系(领导和员工,首长和士兵等),同行关系(同学,同事等),行业关系(顾客和。陌生这个词的意思陌生:生疏;不熟悉。读音: mò shēng 引证:沈从文《从文自传·辰州》:“到处是陌生面孔,我不知道日里同谁吃饭,且不知道晚上同谁睡觉。”举例:好久不回
尹新荣
2022-10-18 14:07:54
笔记本音响有滋滋声,苹果笔记本音响有滋滋声
笔记本电脑音响有杂音滋滋滋怎么处理如果耳机听声音正常,说明不是喇叭的问题,也可能是插座内部接触不良造成的,或者是音频通道从耳机到喇叭电路中的某个元件性能不佳或接地不良造成的。如果耳机听也有噪音,应该是电脑内的音频电路的问题,比如耳机放大电路接地不。笔记本电脑喇叭有杂音滋滋?N55右键小喇叭——选播放设备——选扬声器,点属性——选择级别选项卡,Real HD Audio output 这里点平衡,左
尹高义
2022-10-18 13:40:16
信誉卡,信誉卡逾期多久被起诉本人不到场会有什么后果
信誉卡逾期不还会怎么样?信誉卡逾期不还会怎么样?信用卡逾期无力偿还的,会产生以下后果:1、债权人可以申请法院强制执行,法院在受理强制执行时,会依法查询债务人名下的房产、车辆、证券和存款。2、债务人名下没有可供执行的财产,而又拒绝履行法院的生效判决,则会有逾期。信誉卡不用了怎么取消第一种是申请人还没取到信用卡 如果申请人在申请信用卡之后,还没有拿到信用卡,那么申请人有这个权利取消信用卡申请。取消方法
洪雨华
2022-10-18 13:34:51
猫配种
猫咪配种要注意什么?分娩前10天,要准备单独的饲养室或产箱,产箱内放置干净棉絮、布片等细软垫物,切忌用乱草、锯末或刨花等,否则易使仔猫钻人乱草之中而被压死。母猫产仔后,要尽快供给充足的温热盐水和充足的肉类、鱼类、肝脏、牛奶等。怎么给猫配种1、当母猫愿意交配的时候,公猫会一边发出叫声一边接近母猫;2、母猫蹲伏下来,公猫则用牙咬住母猫颈部疏松的皮肤,爬上母猫背部,并用前爪揉母猫的两侧;3、公猫要做一系
任锐利
2022-10-18 13:18:42
有网但是电脑连不上网,电脑无法上网但是网络是通的
家里有网但电脑连接不上网络怎么办?1、有可能是电脑的IP出现了问题。按WIN+R,输入“netsh winsock reset”然后重启电脑,再试试能不能连接WIFI。2、可能是电脑的无线网络驱动出现了问题,导致电脑WIFI不能正常连接WIFI。首先右键点击此电脑、点击设备、再点击设。有网但是电脑连不上网怎么办?同时按下Windows键和R键,输入cmd 点击确定,然后输入“netsh winso
曹正平
2022-10-18 13:10:20
002408股票行情,002408股票行情同花顺
齐翔腾达002408今日价格走势?齐翔腾达股票的行业分析?002408齐翔腾达 雪一、从公司角度看 1. 公司介绍 对于淄博齐翔腾达化工股份有限公司来说,是成立于2002年1月4日的,主营对石油加工副产品碳四进行深加工以转化成高附加值精细化工产品的业务,其中甲乙酮为公司主导产品。齐翔腾达先后获得"中国。齐翔腾达股公告?002408齐翔腾达股票分析?002408 齐翔腾达分红?一、从公司角度看 1.
陆凯康
2022-10-18 13:01:59
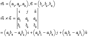
法向量怎么求,法向量怎么求二面角的余弦值
法向量的计算方法用方程ax+by+cz=d表示的平面,向量(a,b,c)就是其法线。如果S是曲线坐标x(s,t)表示的曲面,其中s及t是实数变量,那么用偏导数叉积表示的法线为:如果曲面S用隐函数表示,点集合(x,y,z)满足 F(x,y,z)=0,那。怎么求法向量如何求法向量1、建立恰当的直角坐标系。2、设平面法向量n=(x,y,z)。3、在平面内找出两个不共线的向量,记为a=(a1,a2,a3)
傅俊民
2022-10-18 12:56:29
古长安是现在的哪里,古长安是现在的哪个地方
古长安是现在的哪里古时候的长安是现在的西安,汉朝时和唐朝时称为长安。东边有重要关口函谷关和渭河平原的优势,被历朝历代作为重要的首都选择。唐朝后,中国政治中心从此向东移,此后再也没有王朝选择在此建都。长安:长安是十三朝古都,是中国。古代长安是现在的哪里古代长安是现在的西安。长安,是西安的古称,是历史上第一座被称为“京”的都城。西安,陕西省辖地级市,西安地处关中平原中部、北濒渭河、南依秦岭,自古有着“
苏锐志
2022-10-18 12:53:44
怎样推荐微信好友给别人
微信如何把好友推荐给别人点击微信--通讯录--选择联系人--点击好友资料的右上方“。”--选择将他/她推荐给朋友--选择好友进行推荐即可。微信好友怎么推荐给他人点击微信--通讯录--选择联系人--点击好友资料的右上方“。”--选择将他/她推荐给朋友--选择好友进行推荐即可。微信如何推荐好友给别人点击微信--通讯录--选择联系人--点击好友资料的右上方“。”--选择将他/她推荐给朋友--选择好友进行
余文轩
2022-10-18 12:31:34
书桌怎么画,书桌怎么画简单又漂亮立体
桌子怎么画1、小圆桌子的画法 先画一个椭圆形,然后再画一个桌边,接着再给桌子画出四个桌腿,一个小圆桌子就画好了。2、小书桌的画法 先画一个长方形,这面画上一个小柜子,然后再画一个桌子腿,上面再画一些书本做装饰,最。桌子怎么画1、在白纸上先画一个略微倾斜的长方形,这是桌面。2、接下来,在桌面的下方画上一条扁扁的长条形,让桌子有一定的厚度,显得更立体一些。3、接着,桌子的侧面也画上长条形,整个桌面就画
侯良骏
2022-10-18 12:28:53
共75583条
第一页
上一页
7215
7216
7217
7218
7219
7220
7221
7222
7223
下一页
最后一页
查看更多
液压电磁阀线圈
2025-04-02 16:39:15
石榴红是什么颜色,石榴红图片
2023-11-11 22:20:35
此地别燕丹下一句,此地别燕丹壮士发冲冠
2023-11-11 22:17:40
冰封侠3永恒之门免费观看,冰封侠免费观看完整版
2023-11-11 22:14:55
脐风散功效与作用,脐风散
2023-11-11 22:12:25
高情商骂人短句,高情商骂人装b的句子
2023-11-11 22:09:48
家庭服务器搭建教程,快速搭建个人服务器
2022-05-07 12:14:23
三丰云服务器怎么样?三丰云速度快不快
2022-05-07 11:07:10
云服务器优势和劣势,云服务器的优缺点有哪些
2022-05-07 11:06:21
云服务器是做什么用的?云计算厂商推荐
2022-05-07 11:01:34
idc服务器租用,服务器租用和服务器托管优势区别
2022-05-07 10:58:25