首页
深度阅读
热点主题
信息问答
知识大全
销售推广
电商资讯
热点主题
proverb和saying的区别,proverbs怎么读的
谚语用英语怎么说? proverb作为名词,指一种简短而有教益的格言或谚语,通常包含一定的道德或智慧的教训。 四、短语搭配 bold proverb 荒唐无礼的俗语 enigmatical proverb 令人费解的谚语 homely proverb 朴实的谚语 vulgar proverb 粗俗的谚语 五、。proverb是什么意思 proverb [英][ˈprɔv&
陆建弼
2023-07-20 05:49:28
周而复始是什么意思,周而复始生生不息
周而复始成语解释 【成语释义】绕完一圈;又从头开始。 指循环往复。 周:环绕一圈;复:又、再。 【成语出处】《文子 自然》:“十二月运行,周而复始。 ”【感情色彩】中性 【成语结构】偏正式成语 【成语用法】紧缩式;作谓语;指循环往复 。周而复始成语解释? 周而复始 (汉语成语)周而复始,汉语成语,拼音:zhōu ér fù shǐ 释义:转了一圈又一圈,一次又一次地循环。
谢鹏海
2023-07-20 05:37:43
口脂读音,口脂和口红哪个更好
口脂是什么意思 口脂古时又称“唇脂”,在管状口红出现之前,口脂其实和胭脂是通用的,装在小盒或者小罐中,古人使用口脂的具体方式,是以指尖挖起一点口脂,直接向嘴唇上“点”、“注”、“匀”。 口脂其实和胭脂是通用的,装在小盒或者。古代女子将嘴唇弄红的纸叫什么 口脂。 影视剧中,常有女子化妆的场景。 有时是打开首饰盒,挑起一点胭脂点在唇上;有时是拿出一张形同红纸的薄片,在唇边轻抿几下。 这都是
侯茂实
2023-07-20 05:35:06
弧光电影,弧光保护
弧光的意思 弧光的意思如下:弧光húguāng。 [arc light]∶一种持续的耀眼亮光,有时具有辉光弧线的外貌,在电路断开时形成。 即电弧发出的光,光度很强,带蓝紫色。 [arc light]∶从一个弧光灯发出的光。 主要含紫外线。 1, 淘气的小星星。弧光的读音弧光的读音是什么 弧光的读音是:húguāng。 弧光的拼音是:húguāng。 词性是:名词。 注音是:ㄏㄨ
尹凯歌
2023-07-20 05:30:19
分文不取是什么意思,分文不取的近义词
分文不取的成语解释 解释:一个钱也不要。 比喻不计报酬。 示例:他得到信任的原因,就是公私分明,不义之财分文不取。 “我起初原说利物之外再赠五十千,也不为轻鲜,只可如此求他了。 肯让不肯让,好歹回我便了,怎胡说到这个所在?羞人答。求“分文不取”的解释 bù qǔ一个钱也不要。 比喻不计报酬。 明·冯梦龙《醒世恒言·一文钱小隙造奇冤》:“又且一清如水,分文不取。 ”典故出处 明·冯
康英睿
2023-07-20 05:16:50
dearth和lack区别,dearth翻译
th为后缀的单词5个 plymouth n. 普利茅斯(英国港市)dearth n. 缺乏,粮食不足,饥谨 broth n. 肉汤 myth n. 神话故事 math n. 数学 locksmith n. 锁匠,锁店 ruth n. 同情;悔恨 firth n. 峡湾,河口 girth n. 腰身,周长,肚带 silver。dear可以组成哪些单词? dear本身就是单词,意思是贵的。 de
姚良奥
2023-07-20 05:12:42
珊瑚英文怎么读,珊瑚英文怎么写
珊瑚的英语翻译 珊瑚用英语怎么说 coral 英[ˈkɒrəl] 美[ˈkɔ:rəl]n. 珊瑚; 珊瑚虫; 珊瑚色; 龙虾卵;adj. 珊瑚的; 珊瑚色的;[例句]The women have elaborate necklaces of turquoise and pink 。关于海洋动物的英文名称 海洋动物的英文
贾天禄
2023-07-20 05:06:39
BATTERY是什么意思车上的
Battery 是什么意思 1、battery的基本意思是“电池(组),蓄电池(组)”,引申可表示同类用具、器物等的“一套;一组;一批;一群;一连串”。 例句:They stopped beside a battery of abandoned guns.他们在一排废弃火炮旁停了下来。 2、battery。battery是什么意思 battery是什么意思battery 英[ˈb
邹承嗣
2023-07-20 04:55:21
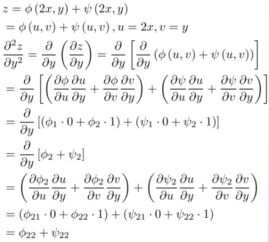
二阶连续偏导数是什么意思,二阶连续偏导数的求法
二阶连续偏导求解 2、二阶偏导连续,就是可微的概念:所有方向可导就是可微;可微一定可导;可导不一定可微。 3、可导、可微是中文微积分的概念;英文中没有可导、可微的区分,都是differentiation。 4、二阶混导,无论先对x先求导,还是对y先。二阶偏导数的公式详解是什么? 举个例子:设z=f(x+y2,3x-2y),f具有二阶连续偏导数,求az/ax,a2z/axay解:az/ax=
赖明煦
2023-07-20 04:53:51
李永宏 政委,李永宝泼水后来怎么样了
月风先生书怎么样 不错。 月风先生真名李永宏,是中国证券市场第一代作手,具有丰富的操盘经验,对证券市场具有敏锐的洞察力和准确的判断力,他写的书主要是总结自己投资的经验,对于需要这方面的人来说还是非常不错的。 我看球比较晚,为什么AC米兰这几年没落了? 贝卢斯科尼后期感觉自己无力经营,就以总价7亿欧元将球队卖给了中国神秘商人李永宏,而这位神秘大佬在足球和管理上基本一窍不通,甚至还是借钱买的球
万天纵
2023-07-20 04:49:02
共75583条
第一页
上一页
259
260
261
262
263
264
265
266
267
下一页
最后一页
查看更多
液压电磁阀线圈
2025-04-02 16:39:15
石榴红是什么颜色,石榴红图片
2023-11-11 22:20:35
此地别燕丹下一句,此地别燕丹壮士发冲冠
2023-11-11 22:17:40
冰封侠3永恒之门免费观看,冰封侠免费观看完整版
2023-11-11 22:14:55
脐风散功效与作用,脐风散
2023-11-11 22:12:25
高情商骂人短句,高情商骂人装b的句子
2023-11-11 22:09:48
家庭服务器搭建教程,快速搭建个人服务器
2022-05-07 12:14:23
三丰云服务器怎么样?三丰云速度快不快
2022-05-07 11:07:10
云服务器优势和劣势,云服务器的优缺点有哪些
2022-05-07 11:06:21
云服务器是做什么用的?云计算厂商推荐
2022-05-07 11:01:34
idc服务器租用,服务器租用和服务器托管优势区别
2022-05-07 10:58:25