首页
深度阅读
热点主题
信息问答
知识大全
销售推广
电商资讯
热点主题
数学期望和方差公式,数学期望和方差公式例题
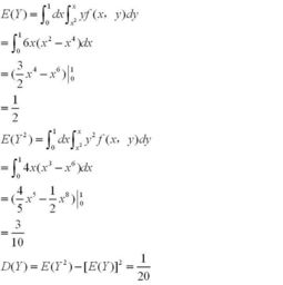
数学期望和方差公式有哪些? 数学期望和方差公式有:DX=E(X)^2-(EX)^2;EX=1/P,DX=p^2/q;EX=np,DX=np(1-p)等等。 对于2项分布(例子:在n次试验中有K次成功,每次成功概率为P,其分布列求数学期望和方差)有EX=np,DX=np(1-p)。 。数学期望,方差的计算公式是?? 方程D(X)=E{[X-E(X)]^2}=E(X^2) - [ E(X)]^
邵乐贤
2023-06-11 06:19:54
成都地铁路线图
成都17号线地铁站点线路图 成都地铁17号线二期共设置站点17座,其中11座为换乘站,分别是投机镇站-龙爪堰站-生骨科医院站-人民公园站-西大街站-红星桥站-建设路北站-二仙桥站-人民塘站-龙潭商务区站-龙潭寺东站。 线路在龙爪堰站与7号线换乘;省骨。成都地铁5号线线路图 成都地铁五号线站站点有华桂路站、柏水场站、廖家湾站、北部商贸城站、幸福桥站、九道堰站、杜家碾站、大丰站、石犀公园站、皇花
严建义
2023-06-11 06:13:46
地接
什么叫旅游中的地接? “地接”——这是导游的专业术语。 简单的讲,就是旅游当地的导游人员。 举个例子,比如你在北京参加了一个旅游团准备到成都九寨沟旅游。 自然,会由北京那边的导游带领游客到达九寨沟。 到达目的地以后,可能北京方面的导游会将讲。什么是旅游公司的地接工作? 地接,指旅游目的地的旅行社利用本地人优势,为外地旅行社组织的旅行团提供接待服务的一种工作形式。 字面意思就是“当地接
范志专
2023-06-11 06:13:08
380变220变压器,380变220变压器阻值
380v转220v变压器原理及接法 380v转220v变压器接法:三角形接法:三角形接法的负载引线为三条火线和一条地线,三条火线之间的电压为380V,任一火线对地线的电压为220V;Y形接法:Y形接法的负载引线为三条火线、一条零线和一条地线,三条火线之间。380变220V的变压器50KVA等于多少A? 变压器两侧的容量是不变的 一次侧电压380V,二次侧电压220V,容量时50kVA 则一次侧
萧博瀚
2023-06-11 06:10:12
九尾狐多肉,九尾狐多肉怎么养爆盆
九尾狐多肉的养殖方法和注意事项 九尾狐多肉的养殖方法有土壤、光照、温度、浇水,注意事项是不要有积水。 1、土壤:首先要选择透气性较好的土壤,这样可以让多肉更好的生长,因此可以选择用一份蜂窝煤、一份腐叶土、一份珍珠岩进行均匀混合配置。 2、光照:九尾。多肉九尾狐大约什么时候开花?开花后应该施什么肥? 一般半个月左右浇水一次就可以了,冬天适当调节水分,一个月左右浇水一次就可以了。 不要给九尾
萧安康
2023-06-11 06:06:42
铸怎么读拼音,铸怎么读拼音怎么写的
铸怎么读? 铸 拼音:zhù,注音字母:ㄓㄨˋ,平水韵部:去声七遇 ,部首:钅,总笔画:5+7,造字法:会意字或形声字,结构:合体字,左右结构,繁体字:铸,异体字:鋳、𤎧、𨥇、𨮩、𨮾、。铸怎么读 拼音 铸的汉语拼音是:zhù。 铸的意思是:1.把金属熔化后倒进砂型或模子里,制成物件:~铁。 ~字。 2.造成:~成大错。
卢俊喆
2023-06-11 06:03:01
关于努力的诗句,关于努力的诗句或名言
形容努力的诗句有哪些? 形容努力的诗句如下:1、百尺竿头须进步,十方世界是全身。 2、长风破浪会有时,直挂云帆济沧海。 3、大鹏一日乘风起,扶摇直上九万里。 4、路漫漫其修远昔,吾将上下而求索。 5、怒发冲冠,凭阑处,潇潇雨歇。 抬望眼,。关于刻苦努力的诗句有哪些 少壮不努力,老大徒伤悲。 (《长歌行》)关于努力学习的诗句 三更灯火五更鸡,正是男儿读书时。 黑发不知好学早,白首方
何立轩
2023-06-11 06:02:19
今天邯郸限号多少
河北省限号城市有哪些 保定、沧州、廊坊、秦皇岛限行尾号:5和0。 石家庄、邢台、邯郸、唐山、衡水、承德、张家口持续不限号。 秦皇岛保定限行时间为早7点到晚7点;廊坊、沧州限行时间为早7点到晚8点;河北限号城市除廊坊外,尾号为字母的按最后。邯郸邢峰公路危险品车限行吗 不限行。 根据邯郸市人民政府在2023年01月18日发布的通告,河北省公安厅交通管理局决定,自2023年1月21日零时实施危
梁星雨
2023-06-11 06:01:28
常州房地产信息网官网,常州房地产信息查询系统
常州的房子是哪个网站监管的 常州房管局网,也有称常州房产局备案查询网站、常州房地产交易中心网站、常州房产交易网和常州房管局官网。 常州房管局官网隶属于常州市住房和城乡建设局,是常州市政府工作部门网站。 常州房管局官网首页主要包括常州房管政府信息公开。常州房产网 常州房产网进不去怎么办啊?有什么办法没有啊?实在打不开的话,后面加.cn到常州房地产信息网上去看看吧 按正规手续是找到门面 到工商
许同甫
2023-06-11 05:56:56
开门拼音
开门的拼音 拼音:开门 [kāi mén]。 释义:敞开门户。 表示欢迎。 出处:郑燮 《范县署中寄舍弟墨第二书》:“盗贼亦穷民耳,开门延入,商量分惠,有甚么便拿甚么去;若一无所有,便 王献之 青氊,亦可携取质百钱救急也。 ”释义。开门的拼音有哪些? 开门的拼音:kāi mén。 具体解释 (1)敞开门户。 表示欢迎。 引证:汉代王褒《九怀·尊嘉》:“河伯兮开门,迎余兮欢欣。
林巍奕
2023-06-11 05:54:31
共75583条
第一页
上一页
1127
1128
1129
1130
1131
1132
1133
1134
1135
下一页
最后一页
查看更多
液压电磁阀线圈
2025-04-02 16:39:15
石榴红是什么颜色,石榴红图片
2023-11-11 22:20:35
此地别燕丹下一句,此地别燕丹壮士发冲冠
2023-11-11 22:17:40
冰封侠3永恒之门免费观看,冰封侠免费观看完整版
2023-11-11 22:14:55
脐风散功效与作用,脐风散
2023-11-11 22:12:25
高情商骂人短句,高情商骂人装b的句子
2023-11-11 22:09:48
家庭服务器搭建教程,快速搭建个人服务器
2022-05-07 12:14:23
三丰云服务器怎么样?三丰云速度快不快
2022-05-07 11:07:10
云服务器优势和劣势,云服务器的优缺点有哪些
2022-05-07 11:06:21
云服务器是做什么用的?云计算厂商推荐
2022-05-07 11:01:34
idc服务器租用,服务器租用和服务器托管优势区别
2022-05-07 10:58:25