数学中的e等于多少?
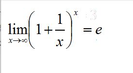
e = 2.71828183 自然常数,是数学中一个常数,是一个无限不循环小数,且为超越数,约为2.71828,就是公式为 Iim (1+1/ x ) x , x →< X >或 Iim (1+z)1/ z , z →0,是一个无限不循环小数,是为超越。
数学中的e等于多少?
e约等于2.71828182。
小写e,作为数学常数,是自然对数函数的底数。
有时称它为欧拉数,以瑞士数学家欧拉命名。
e=2.71828182……是微积分中的两个常用极限之一。
它就像圆周率π和虚数单位i,e是数学中最重要的常数之一。
e的。

数学上的e等于几?
数学上的e约等于2.718281828459045。
e,作为数学常数,是自然对数函数的底数。
有时称它为欧拉数(Euler number),以瑞士数学家欧拉命名;也有个较鲜见的名字纳皮尔常数,以纪念苏格兰数学家约翰·纳皮尔(John Napier)引进对。
数学中e的值是多少?
数学中e的值是2.7182818284590452353602874713527。
自然常数,是数学中一个常数,是一个无限不循环小数,且为超越数,约为2.71828,是一个无限不循环小数,是为超越数。
e作为数学常数,是自然对数函数的底数。
数学中e的由来 有。
数学中的e是多少
数学中e是无理数,在数学中是代表一个数的符号,其实还不限于数学领域。
在大自然中,建构,呈现的形状,利率或者双曲线面积及微积分教科书、伯努利家族等。
现e已经被算到小数点后面两千位了。