排列数公式是什么?
2、从n个不同元素中取m(m<=n)个元素的所有排列个数,叫做从n个不同元素中取出m个元素的排列数,用符号A上标m下标n。
3、n个不同元素全部取出的一个排列,叫做n个不同元素的一个全排列,公式为A上标m下标n=n!

排列数公式是什么?
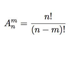
排列A(n,m)=n×(n-1).(n-m+1)=n!/(n-m)!(n为下标,m为上标,以下同)组合C(n,m)=P(n,m)/P(m,m) =n!/m!(n-m)!;例如A(4,2)=4!/2!=4*3=12 C(4,2)=4!/(2!*2!)=4*3/(2。
排列的计算公式是什么?
计算公式如下:公式A是排列公式,从N个元素取M个进行排列(即排序)。
排列数公式就是从n个不同元素中,任取m(m≤n)个元素(被取出的元素各不相同),按照一定的顺序排成一列,叫做从n个不同元素中取出m个元素的一。
排列数和组合数的计算公式是什么?
排列数 A(n,m) 即字母A右下角n 右上角m, 表示n取m的排列数 A(n,m)=n!/(n-m)!=n*(n-1)*(n-2)*……*(n-m+1)A(n,m)等于从n 开始连续递减的 m 个自然数的积 组合数 C(n,m) 即 字母C右下。