双阶乘的介绍
双阶乘是一个数学概念,用n!!表示。
正整数的双阶乘表示不超过这个正整数且与它有相同奇偶性的所有正整数乘积。
当n是自然数时,表示不超过n且与n有相同奇偶性的所有正整数的乘积。
如:示例:3!!=1×3=3 5!!=1×3。
什么是双阶乘? 双阶乘简介
1、双阶乘是一个数学概念,用n!!表示。
2、正整数的双阶乘表示不超过这个正整数且与它有相同奇偶性的所有正整数乘积。
前10个自然数(从0到9)的双阶乘分别为:1, 1, 2, 3, 8, 15, 48, 105, 384, 945 。
3、。

双阶乘定义
双阶乘是一个数学概念,用n!!表示。
正整数的双阶乘表示不超过这个正整数且与它有相同奇偶性的所有正整数乘积。
零的双阶乘,和零的阶乘一样,是1。
希望我能帮助你解疑释惑。
两个阶乘符号是什么意思?
两个阶乘符号是双阶乘,双阶乘是一个数学概念,用“n!!”表示。
正整数的双阶乘表示不超过这个正整数且与它有相同奇偶性的所有正整数乘积。
比如数字1的双阶乘为1!!=1,数字2的双阶乘为2!!=2,数字3的双阶乘为3!!=3。
什么是双阶乘
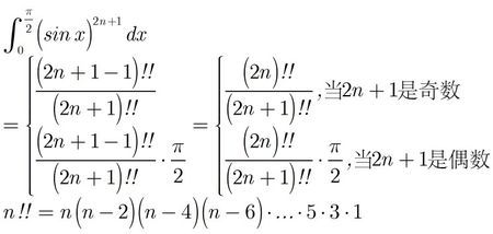
双阶乘m!!表示:当m是自然数时,表示不超过m且与m有相同奇偶性的所有正整数的乘积。
当m是负奇数时,表示绝对值小于它的绝对值的所有负奇数的绝对值积的倒数。
当m是负偶数时,m!!不存在。.