通分的概念是什么?有简单的公式
急!!!明天就考试了通分是根据分数(式)的基本性质,将几个不同的分母分数(公式)转化为与原分数(公式)相等的分母分数(公式)的过程,称为通分。
通分和约分的依据都是分数(式)的基本性质:分数(式)的分子、分母乘或除一个不等于零。
分数的乘除通分以及方程组的文字公式是什么?
乘法:分子和分子相乘,分母和分母相乘,然后能约分的约分 除法:乘以一个分数等于除以这个分数的倒数 通分:把几个异分母分数化成与原来分数相等的且分母相同的分数 方程组解法:消元,一元一次方程来解决.

小学分子分母公式分子通分
分数(式)的分子、分母同乘以或除以一个不等于零的数(式),分数(式)的大小不变。
分母不变,对方的分子分母交叉相乘。
通分的方法:1、找出公分母。
公分母可以用两个或几个数的最小公倍数。
2、然后把需要通分的两个。
求教函数是如何通分的?
有什么公式吗?做题的时候经常有讲说要通分,但是我看不明白怎么通。
比。这个函数通分跟小学的不同分母通分是一样的道理,只不过把数字换成字母而已,一般情况下把不同分母找最小公倍数,之后换成同分母,分子进行加减即可。
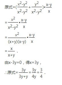
现把你举例的解题过程拍成图片如下图所示 。

关于数学的通分
关于数学的通分具体步骤和分析方法分式通分的方法:通分的关键是确定几个分式的最简公分母,其步骤如下:1.将各个分式的分母分解因式;2.取各分母系数的最小公倍数;3.凡出现的字母或含有字母的因式为底的幂的因式都要取;4.相同字母或含字母的因式的幂。