2019年高考分数线一分一段表
2019年高考分数线一分一段表介绍如下:上海:本科录取控制分数线403分。
广东:本科文科455分、理科390分。
天津:文科本科线428分、理科本科线400分。
吉林:一本文科544分、一本理科530分。
四川:文科一本540分、理科一本547。
山东高考分数线一分一段表
3、页面跳转以后可以看到对应的检索结果,该页面中有多个年份一分一段表,点击2022年的一分一段表进入。
4、在出现的页面中点击附件内容。
5、此时即可看到2022年山东省高考成绩一分一段表的具体内容了。

:2019年高考分段表和2020年新高考分段表怎么转换分数山东省?
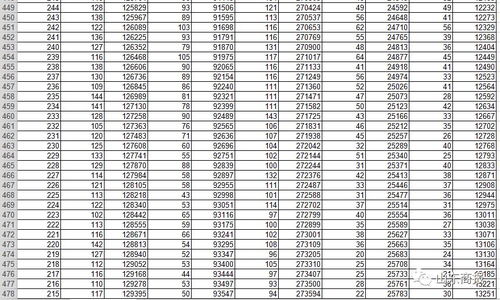
第一列:代表分数,如469分;第二列:代表人数,如469分的共有627人;第三列:代表总排名,如469分的排名是从64350到64977名。
2019年山东高考一本最低录取分数线是多少?
普通批线:理443,文503 自主招生最低录取控制参考线:理514,文542 高水平运动员:理287,文326 艺术类:理287,文326 体育类文化录取控制线:303 目前山东省高考今年的一本线已经出来了,本科批次线是理科443、文科503。

2019年山东省一分一段表如何换算位次?
如题相应确定的一个录取新生的最低成绩(总分)标准。
只有高考总分(艺术、体育考生含专业成绩)达到或超过这此分数线的考生(通常称“上线考生”)档案,才有资格被招生高校调阅并选择录取。