微分方程的通解公式
常微分方程通解公式是:y=y(x)。
隐式通解一般为f(x,y)=0的形式,定解条件,就是边界条件,或者初始条件 。
常微分方程,属数学概念。
学过中学数学的人对于方程是比较熟悉的。
在初等数学中就有各种各样的方程,,比如。
微分方程的通解公式
微分方程的通解公式:1、一阶常微分方程通解 dydx+p(x)y=0dydx+p(x)y=0。
2、齐次微分方程通解 y=ce−∫p(x)dx。
3、非齐次微分方程通解 y=e−∫p(x)dx(c+∫q(x)e∫p(x)dxdx)。
4、二阶常。

微分方程通解公式
微分方程通解公式是dy/dx=1/(x+y),微分方程是指含有未知函数及其导数的关系式。
解微分方程就是找出未知函数。
微分方程是伴随着微积分学一起发展起来的。
微积分学的奠基人Newton和Leibniz的著作中都处理过与微分方程有关的。
二阶微分方程的3种通解公式是什么?
第一种:y=C1cos2x+C2sin2x-xsin2x。
由y2-y1=cos2x-sin2x是对应齐方程的解可推出cos2x、sin2x均为齐方程的解。
第二种:通解是一个解集,包含了所有符合这个方程的解;n阶微分方程就带有n个常数,与是否线性无关。

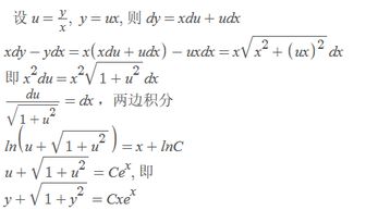
微分方程,用通解公式,要详细解答过程!
解:设y'-y/x=0,有dy/y=dx/x,两边积分有y=x。
再设方程的通解为y=xu(x),则y'=u(x)+u'(x)x,代入原方程,经整理有,u'(x)=(-2lnx)/x^2。
两边再积分有,u(x)=(2/x)(lnx+1)+C。
∴原方程的。