tan三角函数公式是什么?
tan三角函数公式有:半角公式。
tan(α/2)=sinα/(1+cosα)=(1-cosα)/sinα。
倍角公式。
tan2α=(2tanα)/(1-tanα^2)。
降幂公式。
tan^2(α)=(1-cos(2α))/(1+cos(2α))。
万能公式。
ta。
tan公式三角函数公式是什么?
tan三角函数公式:tana=sina/cosa。
tanα=1/cotα。
在Rt△ABC(直角三角形)中,∠C=90°,AB是∠C的对边c,BC是∠A的对边a,AC是∠B的对边b,正切函数就是tanB=b/a,即tanB=AC/BC。
正切定理:在平面三角形中,。

tan()三角函数公式是什么?
tan三角函数公式:tana=sina/cosa tanα=1/cotα 在直角三角形中,任意一锐角∠A的对边与斜边的比叫做∠A的正弦,记作sinA(由英语sine一词简写得来),即sinA=∠A的对边/斜边。
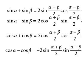
和角公式:sin ( α ± β ) = si。
tan三角函数公式大全
tan度数公式 1.tan30=√3/3 2.tan45=1 3.tan60=√3 正切定义 正切函数是角θ在任意直角三角形中,与θ相对应的对边与邻边的比值叫做正切。
若将θ放在直角坐标系中即tanθ=y/x。
tanA=∠A的对边/∠A对边。

tan的三角函数公式有哪些
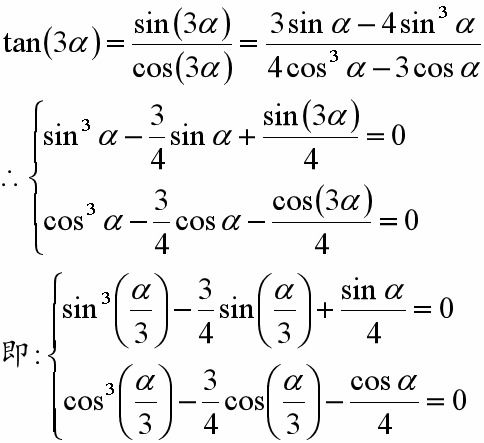
1、二倍角公式:tan2α=(2tanα)/(1-tan^2(α))2、三倍角公式:tan3a=tana·tan(π/3+a)·tan(π/3-a)3、两角和与差的tan三角函数公式:tan(α+β)=(tanα+tanβ)/(1-tanαtanβ);tan(α。